Daikin katalog - page 47

47
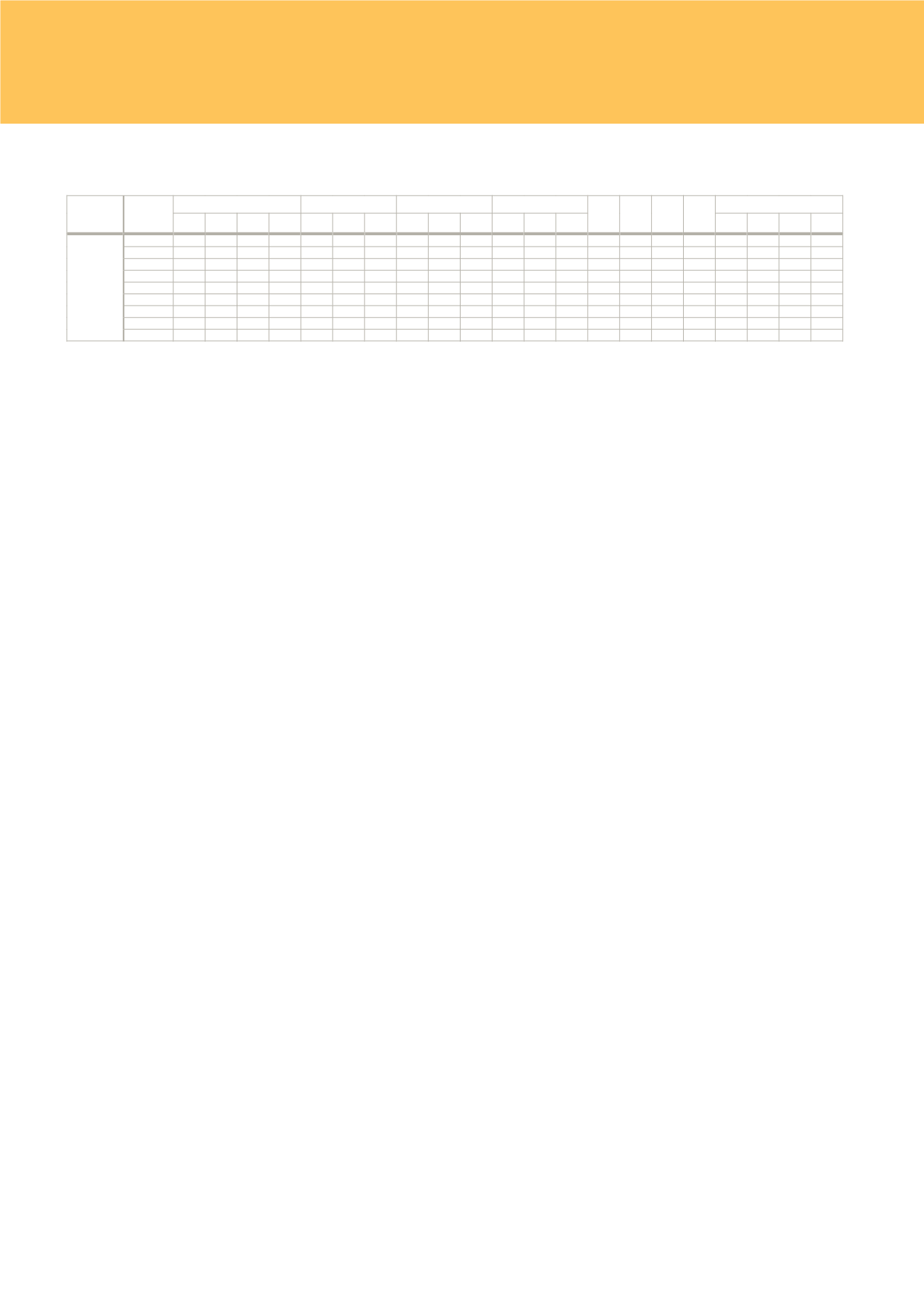
4MXS-E
HLAJENJE
ZUNANJA
ENOTA
NOTRANJA
ENOTA
HLADILNA KAPACITETA (kW) SKUPNA KAPACITETA (kW) PORABAMOČIZAHLAJENJE (kW)
SKUPNI TOK (A)
FAKTOR
MOČI
(%)
EER ENERGIJSKAOZNAKA
AEC
(kWh)
Sezonski podatki
PROSTOR
A
PROSTOR
B
PROSTOR
C
PROSTOR
D Min.
Nom. Maks. Min.
Nom. Maks. Min.
Nom. Maks.
oznaka SEER Pdesign AEC
4MXS80E3V3B
2,5+2,5+3,5+5,0
1,48
1,48
2,07
2,96
3,16 8,00
9,58
0,71 2,52
3,63
3,1 11,2
16,1 98 3,17 B 1260 A++ 6,18 8,00 454
2,5+2,5+3,5+6,0
1,38
1,38
1,93
3,31
3,30 8,00
9,60
0,72 2,28
3,29
3,2 10,1
14,6 98 3,51 A 1140 A++ 6,27 8,00 447
2,5+2,5+4,2+4,2
1,49
1,49
2,51
2,51
3,15 8,00
9,57
0,71 2,58
3,69
3,1 11,4
16,4 98 3,10 B 1290 A++ 6,18 8,00 454
2,5+2,5+4,2+5,0
1,41
1,41
2,37
2,82
3,26 8,00
9,60
0,71 2,52
3,63
3,1 11,2
16,1 98 3,17 B 1260 A++ 6,18 8,00 454
2,5+3,5+3,5+3,5
1,54
2,15
2,15
2,15
3,09 8,00
9,35
0,71 2,58
3,30
3,1 11,4
14,6 98 3,10 B 1290 A++ 6,11 8,00 459
2,5+3,5+3,5+4,2
1,46
2,04
2,04
2,45
3,19 8,00
9,59
0,71 2,58
3,77
3,1 11,4
16,7 98 3,10 B 1290 A++ 6,11 8,00 459
2,5+3,5+3,5+5,0
1,38
1,93
1,93
2,76
3,30 8,00
9,60
0,75 2,52
3,63
3,3 11,2
16,1 98 3,17 B 1260 A++ 6,11 8,00 459
2,5+3,5+4,2+4,2
1,39
1,94
2,33
2,33
3,29 8,00
9,60
0,75 2,58
3,77
3,3 11,4
16,7 98 3,10 B 1290 A++ 6,11 8,00 459
3,5+3,5+3,5+3,5
2,00
2,00
2,00
2,00
3,23 8,00
9,60
0,71 2,58
3,77
3,1 11,4
16,7 98 3,10 B 1290 A+ 6,04 8,00 464
Opombe: 1. Hladilna zmogljivost temelji na 27°CDB/19°CWB (notranja temperatura). 35°CDB (zunanja temperatura).
Grelna zmogljivost temelji na 20°CDB (notranja temperatura). 7°CDB/6°CWB (zunanja temperatura).
2. Skupna zmogljivost priključene notranje enote je do 14,5 kW.
3. Nemogoče je priključiti notranjo enoto samo za en prostor.
4. Zgornja vrednost velja za priključitev z naslednjimi notranjimi enotami.
1,5 kW: serija CTXS-K za montažo na steno; 2,0, 2,5, 3,5, 4,2, 5,0 kW: serija FTXS-K za montažo na steno.
Razred 6,0, 7,1 kW; stensko montirana G serija.
Tabele kombinacij
1...,37,38,39,40,41,42,43,44,45,46 48,49,50,51,52,53,54,55,56,57,...70
Powered by FlippingBook